In 2018, the Lancet published a study from the ‘Global Burden of Disease Alcohol Collaborators’ which claimed that there was no safe level of alcohol consumption. This was widely reported and was naturally welcomed by anti-alcohol campaigners. The BBC reported it under the headline ‘No alcohol safe to drink, global study confirms’. (Note the cheeky use of the word confirms, despite the finding going against 50 years of evidence.)
The study wasn’t based on any new epidemiology. Instead, it took crude, aggregate data from almost every country in the world, mashed it together and attempted to come up with a global risk curve. As I said at the time:
The study contains no new evidence and uses an unusual modelling approach based on population-wide data from various online sources. If you look at this massive appendix you can see the kind of data they were using. The figures are extremely crude.The authors don’t dispute the benefits of moderate drinking for heart disease but they claim that the benefits are matched by risks from other diseases at low levels of consumption and are outweighed by the risks at higher levels of consumption. Some diseases which have been associated with benefits of drinking, such as dementia, are excluded from the analysis entirely. They also ignore overall mortality, which you might think was kind of important.
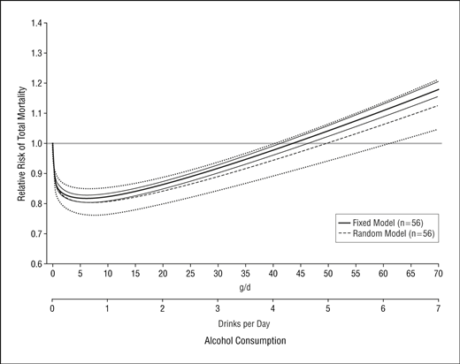
A typical risk curve for alcohol consumption and mortality is J-shaped. It looks like this:

But the Lancet study’s risk curve for ‘all attributable causes’ looked like this:

You will notice that there appears to be no protective effect at moderate rates of consumption in the study’s curve. One important reason for this is that they associate alcohol consumption at any level with tuberculosis. Tuberculosis remains a serious health problem in much of the world, but not in Britain. So what relevance does a global risk curve have to us? None.
Moreover, TB is not really an alcohol-related disease and is only viewed as such in this study because (a) drinking might weaken the immune system and (b) people who go to bars and clubs are more likely to catch an infectious disease. I kid you not.
Today, the Lancet has published a new study by the same team using an improved methodology which comes up with a more conventional curve.

As yet, there has been no report from the BBC to set the record straight. In fact, most media outlets have ignored the study. One exception is the Guardian which, taking its cue from the press release, has focused on the finding that the health benefits of moderate drinking only apply to people over the age of 40.
Take a moment to savour the headline and sub-heading, for they tell us a lot about the world in which we now live.

I drank a lot of alcohol when I was under 40 and my experience is not consistent with the claim that it is ‘never good’. As I recall, it was nearly always good. I assume that it still is good because many millions of people under the age of 40 continue to do it. And yet we are told, on the basis of a modelling study, that young people ‘should not drink at all’. Why? Because they won’t get any health benefits from doing so. This is not mere editorialising from a paternalistic newspaper. It is the conclusion of at least one of its authors:
‘Our message is simple: young people should not drink, but older people may benefit from drinking small amounts,’ said the senior author, Dr Emmanuela Gakidou, professor of health metrics sciences at the University of Washington’s School of Medicine.
Let us not dwell on the fact that the same team’s message four years ago was that nobody should drink. Let us instead marvel at the mindset of people who think that the only things worth doing are those that make you live longer and that the only benefits worth considering are health benefits.
This worldview, which Robert Crawford called healthism but which could more accurately be called longevitism (since long life does not imply good health and usually leads to poor health), is implicit in government drinking guidelines. Guidelines are supposed to be recommendations, but they soon become targets, as in Scotland where the government wants to double down on its failed policy of minimum pricing because ‘Scots are still drinking 30 per cent more alcohol than the 14 units per week guidelines’.
If the aim of policy was to maximise happiness, the government would recommend that people drink as much as they want. At higher levels of consumption, the optimal quantity would be influenced by potential health risks which could be informed by the kind of research mentioned above. Pigouvian taxation on alcoholic beverages would optimise consumption across society.
In the UK, the drinking guidelines were blatantly fabricated for political reasons, but even if they were more robust, they could only tell us what the optimal level of consumption is from the perspective of health and longevity (spoiler: it is more than zero).
Most people in Britain are blissfully unaware of what the drinking guidelines are. Insofar as they know what they are, they understand that they only apply to health risks (and benefits). They take a broader account of the costs and benefits when they decide how much to drink.
Only a fanatic would say that something is ‘never good’ on the basis that it poses a risk to health that is negligible in practice, let alone that something should never be done unless it improves health. It does not take much imagination to see how such a principle, especially if accompanied by government coercion, would lead society down a dark and miserable path.
Notice, by the way, that nobody involved in this research is recommending that teetotallers over the age of 40 should start drinking moderately, despite the study showing that this would improve their health. Even in the world of ‘public health’, fanaticism has its limits.
This article first appeared on Christopher Snowdon’s Substack.
Comments